Tu as sûrement déjà vu de nombreux coureurs faire trempette dans de l’eau glacée juste après un effort, ou carrément avoir recourt à de la cryothérapie corps entier dans des caissons dédiés à -110°C. Peut-être même que tu pratiques ou a déjà pratiqué ces méthodes. Évidemment le but principal de ces protocoles a pour but d’améliorer la récupération.
Est-ce que cela est réellement fondé ? Si oui, comment ça marche ? Quelles différences y-a-t-il entre les bains froids et la cryothérapie corps entier ? Quels sont les réels effets et est-ce qu’ils sont simplement limités à la récupération ? C’est ce que nous allons aborder aujourd’hui.
Toutes les études dont je parlerai sont vérifiées et consultables dans les liens disponibles ci-dessous.
BAIN D’EAU FROIDE
Je suis sûr que tu as déjà vu ces athlètes s’immerger dans des bacs d’eau remplis de glaçon pendant quelques minutes, ou peut-être que tu procèdes toi-même à ce genre de méthode, mais généralement ce processus est exécuté directement après des séances à haute intensité, plutôt traumatisantes dans le but prioritaire de favoriser la récupération et bénéficier d’un effet antalgique et anti-inflammatoire.
Aujourd’hui, les études les plus récentes ont démontré que les protocoles avaient évolué et que l’immersion dans des eaux glacées n’étaient pas forcément nécessaire pour en tirer les bienfaits. En effet il serait plus judicieux de rester entre 10’ et 15’ dans une eau comprise entre 10°C/15°C que dans des bacs glacés où la température peut descendre en dessous des 8°C et où le temps d’exposition sera beaucoup plus difficile à maintenir.
Bref, cela fait maintenant des années que ce système est appliqué chez de nombreux sportifs, les études sont multiples tout comme le sont les résultats dont on parlera plus tard.
CRYOTHÉRAPIE CORPS ENTIER (CCE)
La cryothérapie corps entier existe depuis de nombreuses années maintenant et elle est appliquée dans de nombreux domaines. Elle profite non seulement aux sportifs pour favoriser la récupération juste après un effort mais influe aussi sur d’autre facteur comme le stress et le sommeil. Là aussi nous verrons plus loin quelles sont les conditions à respecter pour bénéficier de tels avantages.
Il existe deux systèmes de CCE. Le premier système va consister à exposer entièrement le corps dans trois caissons et le protocole à suivre est généralement le suivant : on entre tout d’abord dans un caisson à -10°C, puis dans un second à -60°C pour terminer enfin dans un dernier caisson à -110°C où l’on restera exposé pendant environ 3’.
Le deuxième système quant à lui correspond à une exposition partielle du corps dans une sorte de capsule qui utilise de l’azote liquide pour refroidir le compartiment à des températures pouvant atteindre jusqu’à -180°C.
Le froid est sec et notre organisme répond immédiatement à ce stress thermique par des réactions physiologiques en chaîne qui perdureront des minutes voire des heures après l’exposition.
CRYOTHÉRAPIE AVANT OU APRÈS UN EFFORT ?
De nombreuses études ont été menées sur le sujet de la cryothérapie quel que soit le moyen utilisé et les conclusions sont toutes unanimes : elle améliore clairement la récupération en limitant entre autres les inflammations et les douleurs grâce à toutes les réactions physiologiques en chaîne qui ont lieu lors du choc thermique.
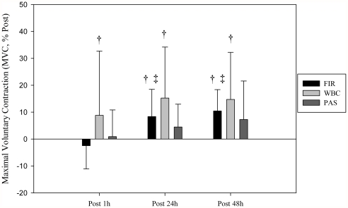
Les études sur le sujet se rejoignent aussi sur le fait que l’exposition au froid doit se faire généralement juste après un effort pour un effet optimal jusqu’à 48h. D’ailleurs il a été constaté des récupérations beaucoup plus significatives chez des athlètes effectuant des séances de cryothérapie dès la première heure post exercice. D’ailleurs une étude menée sur des trailers en 2011 par l’équipe du physicien du sport français Christophe Hausswirth et dont tu trouveras le lien ci-dessous illustre bien le phénomène.
Les résultats de cette étude montrent clairement que la récupération est beaucoup plus efficace chez des sujets qui ont effectué des séances de CCE post exercice que chez d’autres effectuant de la récupération passive.

C.Hausswirth & al « Récupération sur la contraction volontaire maximale des extenseurs du genou sur différents groupe de trailer »

Ceci étant dit, la cryothérapie peut être aussi employée sur des individus non sportifs pour réduire le stress et améliorer le bien-être. Dans ces cas bien précis, la séance peut être effectuer évidemment à n’importe quel moment.
BIENFAITS DE LA CRYOTHÉRAPIE
Les bienfaits prouvés par la cryothérapie sont nombreux et ses bénéfices peuvent s’appliquer tant aux sportifs qu’aux personnes lambdas souffrant de troubles du sommeil ou de syndromes dépressifs.
Sans rentrer dans les détails techniques scientifiques, voici ci-dessous, les avantages de la cryothérapie :
AMÉLIORE LA RÉCUPÉRATION
De manière générale elle améliore la récupération comme nous l’avons déjà vu avec l’étude citée précédemment et le cas des trailers où la vitesse de récup était bien plus rapide que la récup passive. Il a aussi été démontré que la cryothérapie avait une influence sur la variabilité de la fréquence cardiaque (VFC) qui est un indicateur relativement fiable sur l’état de fatigue dans lequel nous nous trouvons. Généralement, plus on va enchainer les entrainements, plus la VFC diminuera. Nous reviendrons d’ailleurs sur ce sujet dans une prochaine vidéo.
AUGMENTE LA QUALITÉ DES ÉTIREMENTS
La cryothérapie augmente aussi la qualité des étirements
DIMINUE LES INFLAMMATIONS LOCALES ET GÉNÉRALES
Elle diminue les inflammations locales et générales mais on notera tout de même une préférence pour les bains froids lorsqu’il s’agit d’un traitement local mais on y reviendra un peu plus loin.
LIMITE LE STRESS OXYDATIF
Elle limite aussi le stress oxydatif grâce à des expositions répétées au froid qui peut améliorer le pouvoir antioxydant de notre corps jusqu’à 17% ce qui n’est pas négligeable. Pour rappel, les antioxydants sont des molécules qui vont lutter contre les réactions chimiques « agressives » sur notre organisme afin d’éviter tout déchets néfastes pour nos cellules.
AMÉLIORE LA QUALITÉ ET LA DURÉE DU SOMMEIL
Le choc thermique de la cryothérapie stimule la sécrétion de noradrénaline, hormone qui participe entre autres à l’amélioration du sommeil tant au niveau de la qualité, de sa durée mais aussi du temps d’endormissement.
ATTÉNUE LES COURBATURES MUSCULAIRES
Cette même hormone permet aussi de limiter les douleurs musculaires post effort. Elle limite les courbatures.
BOOSTE LES DÉFENSES IMMUNITAIRES
Les températures extrêmes poussent l’organisme à réagir face à cette agression et permet aussi de booster les défenses immunitaires pour surmonter ce stress.
AMÉLIORE LE BIEN-ÊTRE GÉNÉRAL
Enfin la cryothérapie procure une sensation de bien-être général prouvé entre autres par une diminution des symptômes dépressifs.
DIFFÉRENCE ENTRE BAIN FROID ET CCE
On pourrait maintenant se demander quelle différence il pourrait y avoir entre les bienfaits des bains froids et de la cryothérapie corps entier. Est-ce que l’une est meilleure que l’autre ?
On peut déjà dire que les effets sont globalement les mêmes quel que soit la méthode utilisée. On peut aussi constater que les études concernant les bains froids sont beaucoup plus nombreuses que la CCE qui est une méthode plus récente.
La nuance va subsister au niveau de l’effet rechercher. Par exemple s’il s’agit d’une recherche d’effet anti inflammatoire ou antalgique sur une partie localiser du corps, la préférence se fera plutôt au niveau du bain froid, car il sera possible de traiter en profondeur et de façon localisée. Si par contre l’objectif est d’améliorer la récupération, le bien être et la qualité du sommeil, alors la CCE semble être une meilleure option.
Pour des moyens matériels et financiers évident, il est beaucoup plus facile de se faire couler un bain froid dans une baignoire que d’avoir un dispositif de cryothérapie corps entier dans son salon ou son garage.
LES LIMITES D’UTILISATION DE LA CRYOTHÉRAPIE
Nous connaissons maintenant la nuance qu’il peut y avoir entre bain froid et CCE, et lorsque l’on reprend tous les avantages et bienfaits que cela peut apporter, on serait tenté de crier au remède miracle et de se dire « bonne maison, je vais me faire de la cryo tous les jours comme ça je serai au top de ma forme… » sauf que comme le dit le proverbe : « il ne faut pas abuser des bonnes choses », c’est exactement le cas ici, car comme dans beaucoup de cas, si l’on habitue le corps à encaisser des chocs thermiques régulièrement, un phénomène d’accoutumance s’installera et les bienfaits seront donc de moins en moins efficaces. C’est donc pour cela qu’il est plus judicieux de varier les systèmes de récupération sur différentes périodes de la préparation ou de la saison. Ce ne sont pas les moyens qui manquent, outre la cryothérapie, la récupération peut se faire via l’électrostimulation, les massages, le foam-roller, les bas de contention… bref il y a pas mal d’outils pour pouvoir s’organiser correctement.
COMBIEN DE FOIS PAR SEMAINE ?
Donc on vient de voir qu’il vaut mieux organiser des périodes ou des cures de cryothérapie mais est ce qu’une seule séance isolée peut tout de même avoir un effet sur notre corps ?
La réponse est oui ! Une seule séance de CCE par exemple améliore tout de même la qualité du sommeil, les défenses immunitaires, la sensation de bien-être ainsi que la fatigue perçue. Cependant il faudra compter plusieurs séances pour optimiser et bénéficier pleinement des avantages restant cités précédemment.
CONCLUSION
Quel que soit la méthode utilisée, la cryothérapie reste un procédé intéressant et efficace pour améliorer la récupération mais pas que… si on prend par exemple le cas de la CCE, elle interfère aussi de manière plutôt positive sur l’amélioration du sommeil et du bien-être. Comme toutes les méthodes déjà existantes, il est souvent plus judicieux de les varier en fonction des périodes afin de ne pas tomber dans une certaine accoutumance qui limiterait les réels effets escomptés.
LITTÉRATURE SCIENTIFIQUE AYANT AIDÉE A LA RÉDACTION DE L’ARTICLE
https://pubmed.ncbi.nlm.nih.gov/22163272/
https://link.springer.com/article/10.1007/s40279-015-0431-7
https://www.ncbi.nlm.nih.gov/pmc/articles/PMC2938508/
[et_bloom_inline optin_id=optin_4]